Autor Thema: Twitter-Fundstücke  (Gelesen 182451 mal)

0 Mitglieder und 1 Gast betrachten dieses Thema.

Offline SchlafSchaf

  • Souverän
  • *
  • Beiträge: 18179
  • Dankeschön: 73966 mal
  • Karma: 935
  • Nemo me impune lacessit
  • Auszeichnungen Auszeichnung für 7500 Beiträge Ein einzigartiger Award der nur für beteiligte der Plakataktion verfügbar ist. Für unerschütterlichen Kampf an forderster(!)  Front Liefert Berichte von Reichsdeppenverfahren für das SonnenstaatlandSSL Der Träger dieses Abzeichens war im Außendienst!
    • Auszeichnungen
Re: Twitter-Fundstücke
« Antwort #1410 am: 5. September 2023, 19:24:12 »
Diese Anleitung seinen Perso abzugeben und Staatendoof zu werden wird bestimmt funktionieren

https://x.com/flugschulee/status/1699108133149315549?s=46&t=DrXE2YUiu-l88FJRQE4VlA
An Rüdiger Hoffmann: Der Faschist sagt immer, da ist der Faschist  (in Anlehnung an die Signatur des geschätzten MitAgenten Schnabelgroß)

Wir kamen
Wir sahen
Wir traten ihm in den Arsch
 
Folgende Mitglieder bedankten sich: Goliath, klimaschutz

Offline SchlafSchaf

  • Souverän
  • *
  • Beiträge: 18179
  • Dankeschön: 73966 mal
  • Karma: 935
  • Nemo me impune lacessit
  • Auszeichnungen Auszeichnung für 7500 Beiträge Ein einzigartiger Award der nur für beteiligte der Plakataktion verfügbar ist. Für unerschütterlichen Kampf an forderster(!)  Front Liefert Berichte von Reichsdeppenverfahren für das SonnenstaatlandSSL Der Träger dieses Abzeichens war im Außendienst!
    • Auszeichnungen
Re: Twitter-Fundstücke
« Antwort #1411 am: 8. September 2023, 09:25:39 »
Das Who is who der noch nicht in das Ausland geflüchteten Querdeppen lädt mal wieder nach Magdeburg ein.
Die Prolleten Banane, Brauner und der Klimperer treten allerdings nicht auf, dafür der KrawallKrall gleich zweimal

Weil man gegen die Pandemie und die Massnahmen und Impfen ist, fordert man den Rücktritt von Habeck  :scratch:

An Rüdiger Hoffmann: Der Faschist sagt immer, da ist der Faschist  (in Anlehnung an die Signatur des geschätzten MitAgenten Schnabelgroß)

Wir kamen
Wir sahen
Wir traten ihm in den Arsch
 
Folgende Mitglieder bedankten sich: theodoravontane, Goliath, klimaschutz

Offline Reichsschlafschaf

  • Souverän
  • *
  • Beiträge: 23144
  • Dankeschön: 73830 mal
  • Karma: 674
  • Auszeichnungen Auszeichnung für 20000 Beiträge Auszeichnung für 15000 Beiträge Auszeichnung für 10000 Beiträge Auszeichnung für 1500 Beiträge Auszeichnung für 2250 Beiträge
    • Auszeichnungen
Re: Twitter-Fundstücke
« Antwort #1412 am: 8. September 2023, 09:31:48 »
Wenn Fiechtner dabei ist, kann es nur ein Riesenerfolg werden!  ;D
„Nur weil es Fakt ist, muß es noch lange nicht stimmen!“ (Nadine)

„Wenn die verdorbenen Leute sich zusammentun und dadurch eine Macht werden, dann müssen die anständigen Leute nur das gleiche tun. So einfach ist das. (Leo Tolstoi, Krieg und Frieden)
 
Folgende Mitglieder bedankten sich: Goliath, klimaschutz, Fleckis Hauspersonal

Offline kairo

Re: Twitter-Fundstücke
« Antwort #1413 am: 8. September 2023, 09:35:21 »
Diese Anleitung seinen Perso abzugeben und Staatendoof zu werden wird bestimmt funktionieren

https://x.com/flugschulee/status/1699108133149315549?s=46&t=DrXE2YUiu-l88FJRQE4VlA

Hat wohl doch nicht funktioniert. Die "Seite existiert nicht". Ein Jammer, da wollte ich mal was lernen, und dann wieder nichts.


In Magdeburg ist Uwe Kranz erstens live dabei und zweitens zugeschaltet. Das ist gut, da kann er sich mit Leuten unterhalten, die das gleiche Niveau haben wie er.
 
Folgende Mitglieder bedankten sich: theodoravontane, Goliath, klimaschutz

Offline theodoravontane

  • Souverän
  • *
  • Beiträge: 6686
  • Dankeschön: 28975 mal
  • Karma: 715
  • Institut für Milchwirtschaft und Gärungswesen
  • Auszeichnungen Autor im Sonnenstaatland-Wiki Auszeichnung für 5000 Beiträge Wertvolle Beiträge! Schon 100 "Danke" erhalten Sehr Wertvolle Beiträge! Bereits 1000 "Danke" erhalten! Auszeichnung für 2250 Beiträge
    • Auszeichnungen
Re: Twitter-Fundstücke
« Antwort #1414 am: 8. September 2023, 10:48:50 »
Hat wohl doch nicht funktioniert. Die "Seite existiert nicht". Ein Jammer, da wollte ich mal was lernen, und dann wieder nichts.

Der Link zu TwiX funktioniert bei mir. Dort ist die "Anleitung" in Form von Bildern nachzulesen.

Falls es aus irgend einem Grund bei Dir nicht funktioniert, kann ich die Bilder hier einstellen.
"Wenn ich mein Leben noch einmal leben könnte, würde ich die gleichen Fehler wieder machen, aber ein bisschen früher anfangen, damit ich mehr davon habe."

Marlene Dietrich
 
Folgende Mitglieder bedankten sich: Goliath, klimaschutz

Offline Anmaron

  • Souverän
  • *
  • Beiträge: 7752
  • Dankeschön: 24027 mal
  • Karma: 231
  • schwarzes Systemschaf und kompetenter Nichtskönner, Abteilungsleiter Qualitätskontrolle im Wackelpuddingreferat.
  • Auszeichnungen Wertvolle Beiträge! Schon 100 "Danke" erhalten Auszeichnung für 7500 Beiträge Auszeichnung für 5000 Beiträge Auszeichnung für 750 Beiträge Sehr Wertvolle Beiträge! Bereits 1000 "Danke" erhalten!
    • Auszeichnungen
Re: Twitter-Fundstücke
« Antwort #1415 am: 8. September 2023, 11:59:46 »
Zitat
Hmm... Diese Seite gibt es nicht. Probiere es mit einer anderen Suche.

Wahrscheinlich muss man registriert und angemeldet sein.
Wer sich politisch nicht engagiert, hilft im Grunde jenen, die das Gegenteil von dem wollen, was man selber für wichtig und richtig hält. (Alain Berset)
Die Demokratie ist so viel wert wie diejenigen, die in ihrem Namen sprechen. (Robert Schuman)

Anmaron, M. Sc. univ. Universität Youtübingen
 
Folgende Mitglieder bedankten sich: Goliath, klimaschutz

Offline theodoravontane

  • Souverän
  • *
  • Beiträge: 6686
  • Dankeschön: 28975 mal
  • Karma: 715
  • Institut für Milchwirtschaft und Gärungswesen
  • Auszeichnungen Autor im Sonnenstaatland-Wiki Auszeichnung für 5000 Beiträge Wertvolle Beiträge! Schon 100 "Danke" erhalten Sehr Wertvolle Beiträge! Bereits 1000 "Danke" erhalten! Auszeichnung für 2250 Beiträge
    • Auszeichnungen
Re: Twitter-Fundstücke
« Antwort #1416 am: 8. September 2023, 12:26:01 »
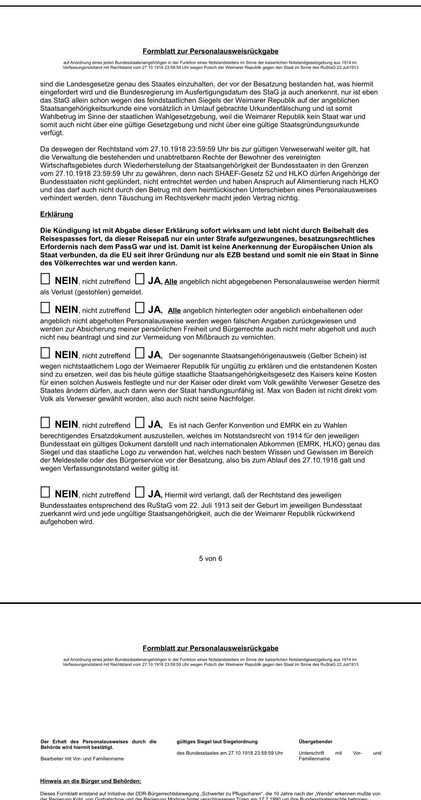
Ich bin mal so frei …

Bilder im Spoiler.

Spoiler









[close]

Und hier als Galerie, aus irgendeinem Grund scheint es so klarer und besser lesbar zu sein: https://postimg.cc/gallery/hcyMkmn
« Letzte Änderung: 8. September 2023, 12:30:26 von theodoravontane »
"Wenn ich mein Leben noch einmal leben könnte, würde ich die gleichen Fehler wieder machen, aber ein bisschen früher anfangen, damit ich mehr davon habe."

Marlene Dietrich
 

Offline -:D-

  • Rechtskonsulent
  • *
  • Beiträge: 350
  • Dankeschön: 1301 mal
  • Karma: 22
  • Auszeichnungen Sehr Wertvolle Beiträge! Bereits 1000 "Danke" erhalten! Wertvolle Beiträge! Schon 100 "Danke" erhalten
    • Auszeichnungen
Re: Twitter-Fundstücke
« Antwort #1417 am: 8. September 2023, 13:39:40 »
Das Who is who der noch nicht in das Ausland geflüchteten Querdeppen lädt mal wieder nach Magdeburg ein.
Krall und Kranz sowohl live auf der Bühne als auch per Livestream zugeschaltet, die "Ärzte für Aufklärung" gleich 2x beteiligt.
Die sind sogar zu doof zum Plakate machen.
 
Folgende Mitglieder bedankten sich: theodoravontane, SchlafSchaf, Goliath, califix, klimaschutz, Chipmunk

Offline topic

  • Kommissar Mimimi
  • **
  • Beiträge: 899
  • Dankeschön: 3935 mal
  • Karma: 89
  • Auszeichnungen Auszeichnung für 750 Beiträge Auszeichnung für 500 Beiträge Beliebt! 50 positives Karma erhalten Sehr Wertvolle Beiträge! Bereits 1000 "Danke" erhalten! Wertvolle Beiträge! Schon 100 "Danke" erhalten
    • Auszeichnungen
Re: Twitter-Fundstücke
« Antwort #1418 am: 8. September 2023, 14:08:06 »
Ach, da freue ich mich auf Olli sein Gejammer am Sonntag. Wenn am Samstag mehr leute sind als er zusammenbekommt. Und alle Singen, tanzen und klatschen. Das ist ja immer ein Graus für den Wurst-Maxe.  :))
 
Folgende Mitglieder bedankten sich: theodoravontane, Goliath, klimaschutz

Offline SchlafSchaf

  • Souverän
  • *
  • Beiträge: 18179
  • Dankeschön: 73966 mal
  • Karma: 935
  • Nemo me impune lacessit
  • Auszeichnungen Auszeichnung für 7500 Beiträge Ein einzigartiger Award der nur für beteiligte der Plakataktion verfügbar ist. Für unerschütterlichen Kampf an forderster(!)  Front Liefert Berichte von Reichsdeppenverfahren für das SonnenstaatlandSSL Der Träger dieses Abzeichens war im Außendienst!
    • Auszeichnungen
Re: Twitter-Fundstücke
« Antwort #1419 am: 8. September 2023, 14:41:06 »
Ach, da freue ich mich auf Olli sein Gejammer am Sonntag. Wenn am Samstag mehr leute sind als er zusammenbekommt. Und alle Singen, tanzen und klatschen. Das ist ja immer ein Graus für den Wurst-Maxe.  :))

Du freust dich auf Olli?
Okay, du gehörst zu denjenigen Aussendienstlern bei denen durch unsere Kundschaft die masochistische Ader geweckt wurde  >:D
An Rüdiger Hoffmann: Der Faschist sagt immer, da ist der Faschist  (in Anlehnung an die Signatur des geschätzten MitAgenten Schnabelgroß)

Wir kamen
Wir sahen
Wir traten ihm in den Arsch
 
Folgende Mitglieder bedankten sich: Goliath, klimaschutz

Offline topic

  • Kommissar Mimimi
  • **
  • Beiträge: 899
  • Dankeschön: 3935 mal
  • Karma: 89
  • Auszeichnungen Auszeichnung für 750 Beiträge Auszeichnung für 500 Beiträge Beliebt! 50 positives Karma erhalten Sehr Wertvolle Beiträge! Bereits 1000 "Danke" erhalten! Wertvolle Beiträge! Schon 100 "Danke" erhalten
    • Auszeichnungen
Re: Twitter-Fundstücke
« Antwort #1420 am: 8. September 2023, 14:44:04 »
Seine dümmliche Aussprache, gepaart mit seinem dämlichen Gesichtsausdruck sind einfach die Wucht in Tüten.
 
Folgende Mitglieder bedankten sich: Goliath, klimaschutz

Offline Reichsschlafschaf

  • Souverän
  • *
  • Beiträge: 23144
  • Dankeschön: 73830 mal
  • Karma: 674
  • Auszeichnungen Auszeichnung für 20000 Beiträge Auszeichnung für 15000 Beiträge Auszeichnung für 10000 Beiträge Auszeichnung für 1500 Beiträge Auszeichnung für 2250 Beiträge
    • Auszeichnungen
Re: Twitter-Fundstücke
« Antwort #1421 am: 10. September 2023, 19:41:58 »
Glücklicherweise wurde dann ja doch noch die Impfung als die Schuldige entlarvt:









 :facepalm:
« Letzte Änderung: 10. September 2023, 19:46:12 von Reichsschlafschaf »
„Nur weil es Fakt ist, muß es noch lange nicht stimmen!“ (Nadine)

„Wenn die verdorbenen Leute sich zusammentun und dadurch eine Macht werden, dann müssen die anständigen Leute nur das gleiche tun. So einfach ist das. (Leo Tolstoi, Krieg und Frieden)
 
Folgende Mitglieder bedankten sich: theodoravontane, Prahlhans, Goliath, klimaschutz

Offline califix

  • Prinz von Sonnenstaatland
  • *****
  • c
  • Beiträge: 5036
  • Dankeschön: 23856 mal
  • Karma: 285
  • Heim Ins Reich? Nein Heim! Uns reichts!
  • Auszeichnungen Auszeichnung für 5000 Beiträge Auszeichnung für 2250 Beiträge Auszeichnung für 1500 Beiträge Auszeichnung für 1000 Beiträge Auszeichnung für 750 Beiträge
    • Auszeichnungen
Re: Twitter-Fundstücke
« Antwort #1422 am: 10. September 2023, 20:11:27 »
Na ein Glück, ein Hautarzt hätte dafür bestimmt eine andere Ursache vermutet und das dann nach den Regeln der Systemmedizin völlig falsch behandelt.
 
Folgende Mitglieder bedankten sich: theodoravontane, Neubuerger, Reichsschlafschaf, Goliath, klimaschutz, Chipmunk

Offline Reichsschlafschaf

  • Souverän
  • *
  • Beiträge: 23144
  • Dankeschön: 73830 mal
  • Karma: 674
  • Auszeichnungen Auszeichnung für 20000 Beiträge Auszeichnung für 15000 Beiträge Auszeichnung für 10000 Beiträge Auszeichnung für 1500 Beiträge Auszeichnung für 2250 Beiträge
    • Auszeichnungen
Re: Twitter-Fundstücke
« Antwort #1423 am: 11. September 2023, 19:26:06 »



Soweit ich das verstehe, geht es um das Kochen von Fröschen?   ???

Welches Jahr ist das noch gleich?

Jesuiten kann man nicht trauen ...
„Nur weil es Fakt ist, muß es noch lange nicht stimmen!“ (Nadine)

„Wenn die verdorbenen Leute sich zusammentun und dadurch eine Macht werden, dann müssen die anständigen Leute nur das gleiche tun. So einfach ist das. (Leo Tolstoi, Krieg und Frieden)
 
Folgende Mitglieder bedankten sich: theodoravontane, Goliath, klimaschutz

Offline Gerntroll

  • Souverän
  • *
  • Beiträge: 8026
  • Dankeschön: 28560 mal
  • Karma: 418
  • Mein Name ist Troll, Gern Troll
  • Auszeichnungen Ein einzigartiger Award der nur für beteiligte der Plakataktion verfügbar ist. Für unerschütterlichen Kampf an forderster(!)  Front Dieser Benutzer hat dem Sonnenstaatland besondere Dienste erwiesen! Der Träger dieses Abzeichens war im Außendienst! Auszeichnung für 7500 Beiträge
    • Servicetelefon
    • Auszeichnungen
Re: Twitter-Fundstücke
« Antwort #1424 am: 11. September 2023, 19:33:58 »
Ich denke Covid gibts nicht? Was denn nun?
Ich liebe Sarkasmus. Es ist wie jemandem die Tastatur in die Fresse zu hauen, nur mit Worten.
 
Folgende Mitglieder bedankten sich: theodoravontane, Goliath, klimaschutz